Key Result
This project identified important natural enemies of diamondback moth (DBM) in the canola cropping system and quantified their contributions to DBM management. These impacts emphasize the importance of natural enemies, and strategies to augment or conserve natural enemy populations as part of a pest management plan for mitigating DBM damage.
Project Summary
Purpose: This project investigated natural enemies of diamondback moth (DBM), Plutella xylostella (Lepidoptera: Plutellidae) in the canola cropping system.
To achieve this, Evenden’s research team investigated DBM-parasitoid and predator dynamics with the aim to bolster DBM biological control. The investigation focused on identifying and monitoring natural enemy populations associated with DBM in canola using province-wide field surveys, developing functional response models to estimate consumption rates of predators and parasitoids on DBM life stages, and quantifying the effects of varying larval densities on canola foliar damage and yield.
Objectives
Specific project objectives were to:
- Identify and monitor natural enemy populations associated with diamondback moth (DBM) in canola, with a focus on larval parasitoids.
- Determine and understand relationships between DBM and its natural enemies to develop dynamic action thresholds.
- Study non-consumptive effects of predators and parasitoids on DBM.
- Understand and quantify the effects of varying larval densities of DBM on foliar damage and yield in canola.
Results
The study objectives were fulfilled by a series of laboratory, greenhouse, and field experiments.
Field surveys indicated that DBM populations and moth influx were consistently low in all study years (2018-2020) resulting in minimal captures of DBM life stages. Across all years surveyed, Diadegma insulare was the most abundant DBM parasitoid species. Diamondback moth predators included ladybird beetles, lacewings and nabid bugs (from the family name Nabidae, which contains damsel bugs).

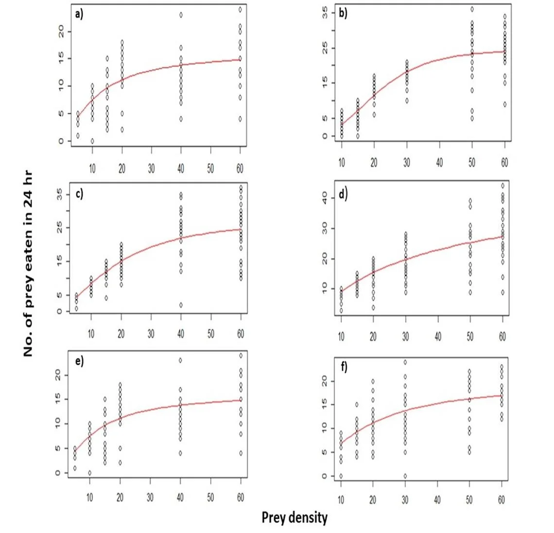
Functional response curves of generalist predator species consuming life stages of DBM a) C. carnea on DBM eggs, b) C. carnea on DBM larvae, c) P. melanarius on DBM eggs d) P. melanarius on DBM larvae e) Nabis spp. on DBM eggs f) Nabis spp. on DBM larvae.
DBM feeding impacts of natural enemies
Once the key predator and parasitoid species were determined, the researchers conducted laboratory bioassays to estimate rates of feeding on eggs and larvae of DBM to calculate functional responses. Functional responses of predators and parasitoids depend on the DBM life stage, and the natural enemy guild (predators, parasitoids and pathogens).
Ladybird beetles, lacewings, carabids and nabids showed Type II and Type III functional responses on DBM eggs and larvae; predation increased with temperature, at the low temperature (10°C) adults showed a Type II response to DBM larvae but a Type III response at the high temperature (32°C) tested. From a biological control perspective, both Type II and Type III responses are critical and combined action of members in the natural enemy guild of DBM in egg and larval consumption may reduce pest populations substantially, particularly in high infestation years.

Effects of different DBM larval densities on canola yield (g) in cage study conducted in a growth room. Bars marked with different letters are significantly different at p < 0.05.
T1= caged control, T2= 2 larvae per plant at early flowering stage, T3= 4 larvae per plant at early flowering stage, T4= 2 larvae per plant at early flowering stage, larval feeding discontinued, and larvae removed once they neared pupation, T5= 4 larvae per plant at early flowering stage, larval feeding discontinued, and larvae removed once they neared pupation, T5= 2 larvae per plant at late flowering/early pod stage, T6= 2 larvae per plant at late flowering/early pod plant,T7=4 larvae per plant at late flowering/early pod plant, T8= 8 larvae per plant at late flowering/early pod plant.
DBM non-feeding effects of natural enemies
The research team also studied the effects of host-plant nutrition and non-consumptive effects associated with the presence of natural enemies and their impacts on DBM feeding and fitness.
Predator presence reduced DBM feeding by 35% and weight gain by ~20%. The no-choice bioassays indicated that the physical presence of seven-spot ladybird beetle (LBB), Coccinella septumpunctata (Coleoptera: Coccinellidae) adults or larvae reduced leaf consumption by 24% and 19%, respectively. Host plant nutrition impacted oviposition as DBM females laid ~2x more eggs on plants under the high fertilization treatment (32.4%) compared to plants under low fertilization (17.2%).
These results confirm that non-consumptive effects add to consumptive effects and together negatively affect fitness of DBM larvae in addition to the effect of direct mortality caused by predation/parasitism.
DBM thresholds
Field cage studies indicated that the foliar damage and yield reductions linearly increased with DBM larval densities. At eight larvae/plant, yield was reduced ~2x with 4x more defoliation compared to controls. Further, high larval density at the podding stage is more detrimental to canola yield compared to that at the flowering stage. Under field conditions, foliar damage to plants with eight larvae/plant was ~4x higher than at the action threshold with two larvae/plant at the podding stage in both 2019 and 2020.
These studies indicate that nominal thresholds should be adjusted based on moth influx, natural enemy presence, and field population dynamics when making spraying decisions.

Diamondback moth larva feeding
Conclusions and DBM management recommendations
- This study indicates that yield reductions at current nominal thresholds (of 1-2 DBM larvae/plant in canola) may not be as significant in years with low to moderate DBM infestation. Therefore, the nominal thresholds for DBM in canola may need to be adjusted.
- DBM management should focus on pest monitoring and forecasts, estimates of pest density, commodity value, and the consideration to the role of natural enemies in the cropping systems in addition to insecticide utilization.
- Natural enemies and strategies to augment or conserve natural enemy populations should be integrated into pest management plans for mitigating DBM damage.
- Dynamic action thresholds incorporate the effect of natural enemies on pest control to provide realistic estimates of pest population densities to trigger management activities.